u kaan

Tutorial online "Gerak Sentripetal"

www.kursusjember.com

Percepatan Sentripetal

Adalah percepatan yang dialami benda yang berGerak Sentripetal beraturan dan arah percepatan selalu menuju pusat lingkaran.

Percepatan sentripetal dilambangkan dengan huruf as. as V

Besar Percepatan sentripetal dapat ditentukan dengan rumus :

Arah percepatan sentripetal selalu tegak lurus terhadap kecepatan liniernya (as v)

dimana :
as  = percepatan sentripetal (ms-2)
v   = kecepatan linier (m/s)
ω   = kecepatan sudut (rad/s)
R    = panjang tali/jari-jari (m)

Contoh soal konsep percepatan sentripetal :
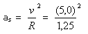
Sebuah benda berGerak Sentripetal beraturan dengan kelajuan linier 5,0 m/s dengan jari-jari lintasan
1,25 m. Tentukan besar percepatan sentripetal benda.

Pembahasan :

Diketahui :
   v = 5,0 m/s
   R = 1,25 m

Ditanyakan:
   as ...

Jawab:

   

         = 40 ms-2