u kaan

Tutorial online "Gerak Sentripetal"

www.kursusjember.com

Gerak Sentripetal Berubah Beraturan

Adalah gerak suatu benda dengan bentuk lintasan melingkar dan besar percepatan sudut/anguler (α) konstan.
Jika perecepatan anguler benda searah dengan perubahan kecepatan anguler maka perputaran benda semakin cepat, dan dikatakan GMBB dipercepat. Sebaliknya jika percepatan anguler berlawanan arah dengan perubahan kecepatan anguler benda akan semakin lambat, dan dikatakan GMBB diperlambat.


1. Percepatan Anguler (α)

Sebuah benda berGerak Sentripetal dengan laju anguler berubah beraturan memiliki perubahan kecepatan angulernya adalah :

Δω = ω2 – ω1

Dan perubahan waktu kecepatan anguler adalah Δt, maka di dapatkan :

∆ω = perubahan kecepatan sudut (rad/s)
∆t = selang waktu (s)
α = percepatan sudut/anguler (rads-2)


Sama halnya dengan Gerak Lurus Berubah Beraturan (GLBB), pada GMBB berlaku juga :

- Mencari  kecepatan sudut akhir (ωt) :               

  ωt = ω0 ± α.t

- Mencari posisi sudut / besar sudut  (θ) yang ditempuh:

  θ= ω0 t ± α.t2

  x = R. θ

  Dapat diperoleh juga :

  ωt2 = ω02 ± 2 α.θ

dimana : 

ωt = kecepatan sudut/anguler keadaan akhir(rad/s)
ω0 = kecepatan sudut/anguler keadaan awal (rad/s)
θ  =  besar sudut yang ditempuh (radian, putaran)
1 rpm = 1 putaran permenit                     
1 putaran = 360° = 2p rad.
x = perpindahan linier (m)
t  = waktu yang diperlukan (s)
R = jari-jari lintasan (m)


2. Percepatan Tangensial (at)

Pada Gerak Sentripetal berubah beraturan selain percepatan sentripetal (as) juga mempunyai percepatan tangensial (at).

Percepatan Tangensial (at) diperoleh :


  maka :  at =  . R  dengan arah menyinggung lintasan.

                    

Partikel P memiliki komponen Percepatan :

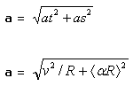
 a =  at  +  as ,                  dimana  at tegak lurus as ( as at )

Besar Percepatan Linier Total partikel titik P :

                    

at  = percepatan tangensial (ms-2)
as  = percepatan sentripetal (ms-2)
a  = percepatan total (ms-2)

Jika as =    dan maka didapat :

Percepatan total (a) :

                                              

dimana

 V = kelajuan linier (m/s)
 R = jari-jari lintasan (m)
  = percepatan sudut (rad s-2)

Semua benda berGerak Sentripetal selalu memiliki percepatan sentripetal, tetapi belum tentu memiliki percepatan tangensial.

Percepatan tangensial hanya dimiliki bila benda berGerak Sentripetal dan mengalami perubahan kelajuan linier.

Benda yang berGerak Sentripetal dengan kelajuan linier tetap hanya memiliki percepatan sentripetal, tetapi tidak mempunyai percepatan tangensial (at = 0 ).

Contoh soal Konsep Gerak Sentripetal Berubah Beraturan:
Sebuah roda mobil sedang berputar dengan kecepatan sudut 8,6 rad/s. Suatu gesekan kecil pada poros putaran menyebabkan suatu perlambatan sudut tetap sehingga akhirnya berhenti dalam waktu 192 s. Tentukan :

  1. Percepatan sudut
  2. Jarak yang telah ditempuh roda dari mulai bergerak sampai berhenti (jari-jari roda 20 cm)

Pembahasan :

Diketahui : ω0= 8,6 rad/s

                  ωt = 0 rad/s

                 t = 192 s
                 R = 10cm= 0,1 m

Ditanya    : a.
                  b. x

Jawab :

a.   

            = - 0,045 rads-2                                           

b.     

           = (8,6).(192) + (-0,045).(192)2

           =  826 rad

 
        x = R.θ

           = (0,1m),(826)

           = 82,6 m

 

Ayunan Konis
Ayunan Konis (Ayunan Kerucut) adalah putaran sebuah benda yang diikat pada seutas tali  yang panjangnya ujung atas tali diikat pada satu titik tetap dan benda diputar mengitari permukaan membentuk kerucut.

Gaya yang bekerja adalah Tx sebagai gaya sentripetal yang menyebabkan benda berGerak Sentripetal beraturan pada bidang horizontal.
Tx = Fs

Pada Sumbu Y :
Benda tidak bergerak,maka sesuai hukum I Newton.
Fy = 0
Tcosθ – mg = 0
T cos θ = mg  ....... (2)

Dari pers (1) dan (2) diperoleh :

        

     dimana

     V = kelajuan ayunan(m/s)    
      g = percepatan gravitasi (ms-2)
     R = jari-jari (m) 
     θ = besar sudut putar(rad)

 

Contoh soal Ayunan Konis/kerucut:
Seutas tali dengan panjang 1 m, ujung atasnya dipegang dan ujung bawah dikaitkan ke benda bermassa 100 g.Kemudian tali diputar sehingga benda berGerak Sentripetal horisontal dengan jari-jari lingkaran 0,5 m. Hitunglah :
a. besar tegangan tali
b. kelajuan linier benda

Pembahasan :

Diketahui : L =1 m
R = 0,5 m
m = 100g = 0,1 kg

Ditanya   :
a. T
b. V

Jawab :

                          

                    (a)                                                  (b)                                 (c)

        

               
Berdasarkan gambar (b) : tan θ =  = 0,58 , cos θ =

a. Ty = mg                                                .       

T cos θ = (0,1).(10)                                         

T =  N                                             

b.
         = 1,70 m/s